Navigation aufklappen/zuklappen
FPS-Berlin Leiterplattenservice
PCB technische Möglichkeiten
PCB Normen und Spezifikationen
Bestückung von Leiterplatten
Bestücker-Service
Layout von Leiterplatten
Produkte und Shop
Bestellen bei FPS-Berlin
Bestellen bei Pollin Electronic
Datenblätter
IC- Adapter Standard
IC- Adapter SBE
Platine Universal- Operationsverstärker
Kontakt
Ansprechpartner
Platine Universal- Operationsverstärker
Universal Operationsverstärker - Grundlagen
Invertierender Verstärker
Nichtinvertierender Verstärker
Strom-Spannungs- und Spannungs-Strom-Wandler
Differenzverstärker - Subtrahierer
Summierverstärker - Invertierender Addierer
Differenzierverstärker
Integrierverstärker
Spannungskomparator
Impedanzwandler - Spannungsverfolger
PI-Regler mit einstellbaren unabhängigen Parametern
Invertierender PID-Regler
PT-Glied mit Nicht-Invertierten Trennverstärker
Anwendungsbeispiele
Forschungs-und Projektservice Berlin
Forschungs-und Projektservice Berlin
FPS-Berlin Leiterplattenservice
Bestückung von Leiterplatten
Bestücker-Service
Layout von Leiterplatten
Produkte und Shop
Kontakt
Ansprechpartner
Platine Universal- Operationsverstärker
Universal Operationsverstärker - Grundlagen
Invertierender Verstärker
Nichtinvertierender Verstärker
Strom-Spannungs- und Spannungs-Strom-Wandler
Differenzverstärker - Subtrahierer
Summierverstärker - Invertierender Addierer
Differenzierverstärker
Integrierverstärker
Spannungskomparator
Impedanzwandler - Spannungsverfolger
PI-Regler mit einstellbaren unabhängigen Parametern
Invertierender PID-Regler
PT-Glied mit Nicht-Invertierten Trennverstärker
Anwendungsbeispiele
Invertierender PID-Regler
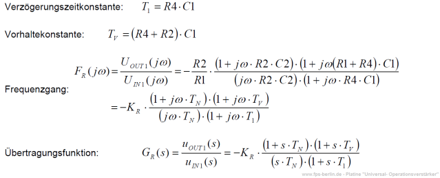
Invertierender PID-Regler in multiplikativer / serieller Form
Invertierter PID-Regler
Impressum und Erklärung zum Datenschutz
0