Forschungs-und Projektservice Berlin
Forschungs-und Projektservice Berlin

Nichtinvertierender Verstärker

Aufbau und Funktion - Nichtinvertierender Verstärker

Der nichtinvertierende Verstärker wird in Gegenkopplung betrieben. Am negativen Eingang wird ein Teil seiner Ausgangsspannung zugeführt. Am positiven Eingang liegt das Eingangssignal an.

Der Operationsverstärker muss jetzt seinen Ausgang so weit regeln, dass die beiden Eingänge wieder ausgeglichen werden.

Anwendung des Nichtinvertierenden Verstärker

Der Nichtinvertierende Verstärker eignet sich vor allem für Anwendungen, bei denen es darauf ankommt einen hohen Eingangswiderstand (bei schwachen Sensorsignalen) zu haben. Der Sensor wird kaum belastet. Der Ausgangswiderstand des OPV ist sehr gering

Man verwendet den Nichtinvertierenden Verstärker daher als Verstärker für Wechselspannungen, zum Messen von kleinen Gleichspannungen und als Impedanzwandler. 

Eine weitere Möglichkeit ist die Verwendung als Gleichspannungsquelle.

Beschaltung der Platine - Nichtinvertierender Verstärker

Operationsverstärker für diese Schaltung benötigen gute Gleichtakteigenschaften. Die Schaltung kann sowohl mit einem Mittelpunkt (GND), als auch mit der negativen Versorgungsspannung (V-) verbunden werden.

Um mit der Platine "Universal-Operationsverstärker" einen Nichtinvertirenden Verstärker aufzubauen, müssen die Widerstände R1 und R2 bestückt werden. Auf der Rückseite sind die Jumper JP2, JP3 JP6, GND oder V- zu schließen.

Das Bild zeigt exemplarisch die Positionen für den A-Kanal.

Verstärkungsfaktor und Ausgangsspannung am Nichtinvertierenden OPV

Nicht-Invertierender Proportional-Regler / P-Regler 

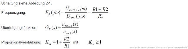
Frequenzgang - Übertragungsfunktion - Proportionalverstärkung 

Nicht-Invertierender Proportional-Integral-Regler / PI-Regler

Nicht-Invertierender PI-Regler

* Für diese Schaltung wird ein Mittelpunkt (GND) benötigt.

(Es kann optional auch der V- mittels Codierbrücke "V-" genutzt werden)

** In der Schaltung können Maßnahmen gegen ungewolltes Schwingen vorgenommen werden, siehe "Weitere Hinweise"

Druckversion | Sitemap
© Forschungs-und Projektservice Berlin